
SMJ3(ppt,pdf,,jpg)日本語
| 
sm.jpg(英語)
| 
SM_Engslish(pptx)
| 
SM_Black.png
| 
quark-lepton-higgs.jpg
| 
SMelementsEnglish.jpg
|

Higgs discovery potential (@ECM = 7+7 TeV)
| 
Production Cross Section at 14 TeV
| 
CMShiggsReach(CMS phyics TDR)
| 
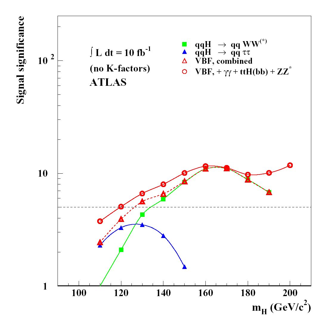
ATLAS discovery
| 
From hep-ph/0402254 v1, 2004.2.24
| 
From hep-ph/0402254 v1, 2004.2.24
|

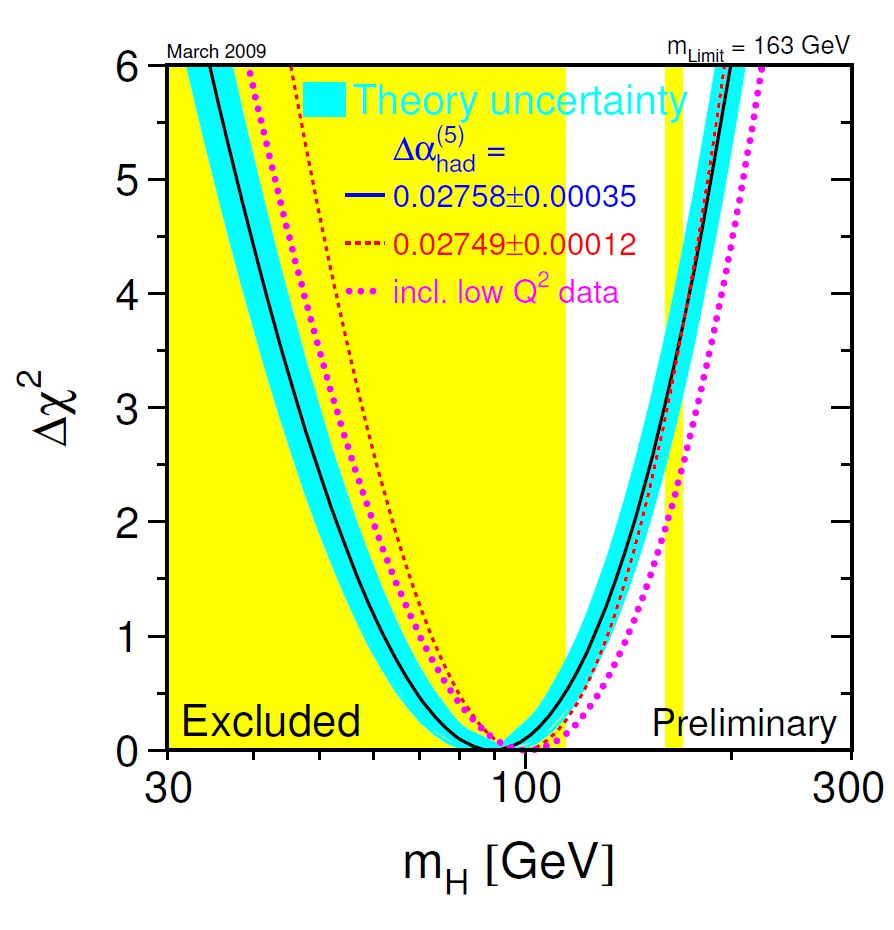
SMHiggsPlot:w09_blueband,(pdf)
copied from LEPEWWG 09Winter
| 
Spira et al., hep-ph/9803257
| 
Spira et al., hep-ph/9803257
| 
Spira et al., hep-ph/9803257
| 
Spira et al., hep-ph/9803257
|

Spira et al., hep-ph/9803257
| 
Spira et al., hep-ph/9803257
| 
SM limits by Hambyet-Riesselmann
| 
Standard Model
| 
Standard Model and Color
|

quark-lepton.jpg
|